5家售电公司、1512家电力用户在内 安徽公示2019年第一批市场主体

2018-12-29 20:13:39 安徽电力交易中心  点击量: 评论 (0)
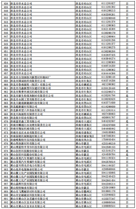
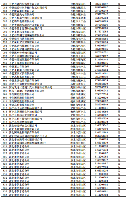
安徽电力交易中心日前发布了《关于2019年第一批市场主体准入公示的通知》,公示5家售电公司、3家发电企业、1512家电力用户,公示时间为2018年12月28日2019年1月4日。










大云网官方微信售电那点事儿

责任编辑:继电保护

免责声明:本文仅代表作者个人观点,与本站无关。其原创性以及文中陈述文字和内容未经本站证实,对本文以及其中全部或者部分内容、文字的真实性、完整性、及时性本站不作任何保证或承诺,请读者仅作参考,并请自行核实相关内容。
我要收藏
个赞