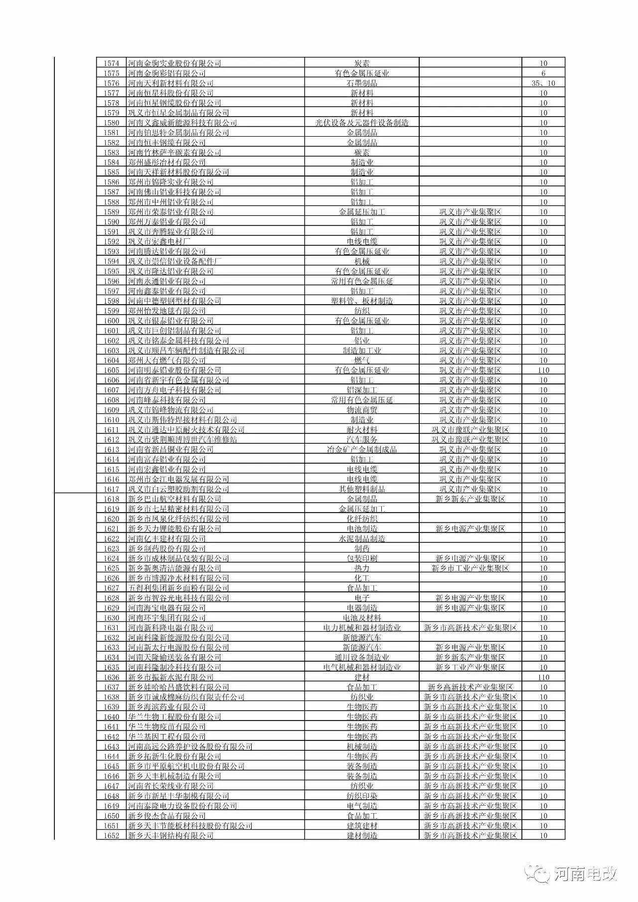
河南省2017年新增电力交易用户名单公示 1829家
河南省2017年新增电力交易用户名单公示根据省委省政府工作部署,按照省发改委要求,现将自愿申报参与我省2017年新增电力交易用户名单予以公示。公示期为2017年4月11日至17日。对公示名单中不符合国家和我省产业、

责任编辑:大云网
免责声明:本文仅代表作者个人观点,与本站无关。其原创性以及文中陈述文字和内容未经本站证实,对本文以及其中全部或者部分内容、文字的真实性、完整性、及时性本站不作任何保证或承诺,请读者仅作参考,并请自行核实相关内容。
我要收藏
个赞
-
昆明电力交易中心:云南电力市场管理办法系列解读(四)用户侧结算
-
云南公布2022年电力交易服务费收费标准
2021-12-222022年电力交易服务费 -
广西电力市场2021年5月月度竞价交易价格环比上涨近9分 首次出现……
2021-04-26广西电力市场
-
云南公布2022年电力交易服务费收费标准
2021-12-222022年电力交易服务费 -
北京电力交易中心公示1家售电公司注册信息变更有关情况
2020-10-30售电公司,电力市场,北京电力交易中心 -
重庆零售侧挂牌交易操作办法征求意见稿:采用“双挂双摘”模式
-
广西电力市场2021年5月月度竞价交易价格环比上涨近9分 首次出现……
2021-04-26广西电力市场 -
【重磅披露】国家电网前三季净利不足200亿,同比降幅仍超50%!(附国网利润表)
2020-11-03国家电网,毛伟明,电改 -
14起典型电力事故案例分析,电力人必看!
2020-11-02典型电力事故,案例分析,电力







